
王志芳是我们的母亲,一位平凡而坚强的中国妇女,幼年生母早逝,父亲再娶,继母不容。由亲姑母抚养长大,她没有正式进过中学,但有一定的文化基础,小小年纪就由父亲指婚给一个商人之子,但她绝不屈从。在她十五六岁时认识了暂住她家,正就读黄埔军校六期的陈中柱,他极心疼这个可爱又可怜的少女,常教她读书、拉琴、唱歌。父亲虽出生苏北贫寒农家,受同学家长的资助才得以读中学,他琴棋书法都好,身材高大英武,在乡里很有组织才能,1927年北伐军路过苏北,他组织迎接大军,并参加了刚组建的国民党支部,大革命失败后,只好去上海谋生,这时外祖父意外溺亡,不能再反对婚事,就由姑母为他们在上海举行了婚礼。

1934年父母初识
我的父亲陈中柱,在黄埔军校六期毕业后,任中央大学军事教官,又在江苏省政府及津浦铁路任职。1937年抗战爆发,南京将沦陷,父亲已有去重庆后方的任命,但他说:黄埔生在国家危难时必须留在前方抗击日寇。这时他们的长女才两岁,母亲又刚诞下一个男婴,父亲就把妻儿三人送往汉口的船上去重庆。随即他积极动员津浦铁路沿线职工、青年学生及苏北家乡的青年农民投身抗战,后被委任为军委特种工作团第三总团少将团长,归属第五战区李宗仁长官指挥。参加了台儿庄战役、徐州会战,整个战役结束以后,他又接受了北伐名将李明扬的委任,到泰州担任鲁苏皖边区游击总指挥部第四纵队少将司令。

1940年父亲陈中柱在泰州
母亲当年只是一个22岁的年轻女子,带着一个两岁女儿和几个月的婴儿,千辛万苦抵达重庆,小儿子不幸病逝。又听说父亲在徐州会战中受伤了、牺牲了……,几个月杳无音讯,她不相信丈夫会弃她而去,立即东拼西凑借来路费,带着四岁的长女经昆明、越南、香港抵上海,在苏北终于找到父亲,之后一直随军,过着危险艰苦的动荡生活。
直到1939年底在泰州才过上短暂的家庭生活,父亲至孝,将盐城乡下的祖母接来团聚。1940年又生下二女儿,父亲甚喜,但好景不长,随着日寇的侵略,欲占泰州,并策动副总指挥李长江叛变,在西山庙内架起机枪胁迫十个纵队司令随他李长江投敌。父亲在会议结束回家后,急命母亲带着我空手从东门出城,到塘头部队的驻地,他自己仅带两名随从,从西门出城。当时城门守军请示城防司令秦庆霖说:“陈司令三人要出城,”他答曰:“放行,就说我不知道此事。”秦庆霖夫妇都是南京人,和我父母私交甚好,也知道陈中柱坚决抗日,不愿随李长江投敌。之后父亲的四纵队和三纵队司令张公任及泰州县长在李明扬总指挥的领导下,坚持在苏北敌后抗战。四纵队是由有觉悟的津浦铁路员工、学生和爱国乡民而组成,加之父亲治军严禁,按黄埔军校的要求训练军队,战斗力强,深得群众的信任和支持。也被日寇视为眼中钉肉中刺,一心要消灭之,并悬赏5万大洋要陈中柱的人头。

1940年在泰州我和父母
1941年6月5日,日酋南部襄吉绕过其他部队,以日军数千人用几十艘汽艇包围兴化武家泽地区,激战三天三夜。6月7日四纵队已近弹尽粮绝,又后撤无路,父亲为了减少部队的伤亡,只好迎头去抢占日军的碉堡,因他身材高大、目标显著,又身先士卒指挥在前,被敌人的机枪扫射,身中六弹,倒在武家泽地区的圩埂上。敌人还残忍的割下他的头颅,去向日酋南部襄吉邀功请赏。这场战斗极其惨烈,当时我和母亲也随军在一条小船上,被汽艇包围后,父亲叫一卫兵带我母女上岸,藏在农家的草垛下面,靠着农民每日塞点干粮维持。三天后枪声停歇,卫兵回来告诉我们说:司令牺牲了!母亲当时强忍着悲痛,在战场上四处寻找,当地的乡民敬仰父亲的忠勇顽强,将他的尸体运回庄内,用从河里捞出来的船板订了一口棺材装殓,我们打开棺木时,只见棺木里一身白色褂裤上满是鲜血的无头尸,当地农民唐邦本自愿撑一小木船载着棺木沿蚌蜒河驶向泰州。我们母女俯身船头哀哀痛哭,母亲不忍心丈夫无头下葬,决心向南部襄吉索回夫头。总指挥李明扬和保安司令陈泰运等众友好均劝阻我母亲。但她决心已定,就是和日本鬼子拼命也一定要回人头,当时日酋南部襄吉刚刚占领泰州,为了笼络人心,又迫于社会各界民众的舆论和压力,最后才同意交还父亲的人头。
那天母亲和我一身缟素,进了虎狼窝—南部襄吉的宪兵司令部,进入大厅,只见条案上放了一个红木盒,当时同去的卫兵杨凤高就要取走,南部说:“不要忙,我们还要为陈司令举行一个仪式,我们敬仰他的忠勇,他是中国真正的英雄”。当时南部亲自上香,两边两排卫兵举枪致敬。南部问杨凤高:“陈司令有几位夫人”,杨凤高答:“仅此一位原配夫人”。南部见我母亲身怀六甲,便问:“陈司令有几个孩子”?我母亲说:“有两个女儿”,当时南部还假惺惺的说:“希望你生个男孩”,然后我们愤愤离开。回到小船上,母亲坚持要打开盒子,里面有一个青瓷瓶放着父亲的人头,见发须完好,后与尸体一并放入棺木中,葬在泰州西仓桥的第十个电线杆下。
在父亲牺牲两个月后母亲生下了遗腹子,取名“承志”,之后我们就一直住在泰州城外,靠李明扬每月资助两担米的抚恤艰难维持生活。当时李明扬总指挥的部队,药品极度缺乏,母亲还冒着生命危险在上海、南京等地采购部队急需的药物,支援游击队打击日寇。她要继承先夫遗志,用行动为夫报仇,这样一位仅25岁且为三个孩子的母亲,难道不值得国人尊敬吗?

1941年父亲去世后母亲与三婶
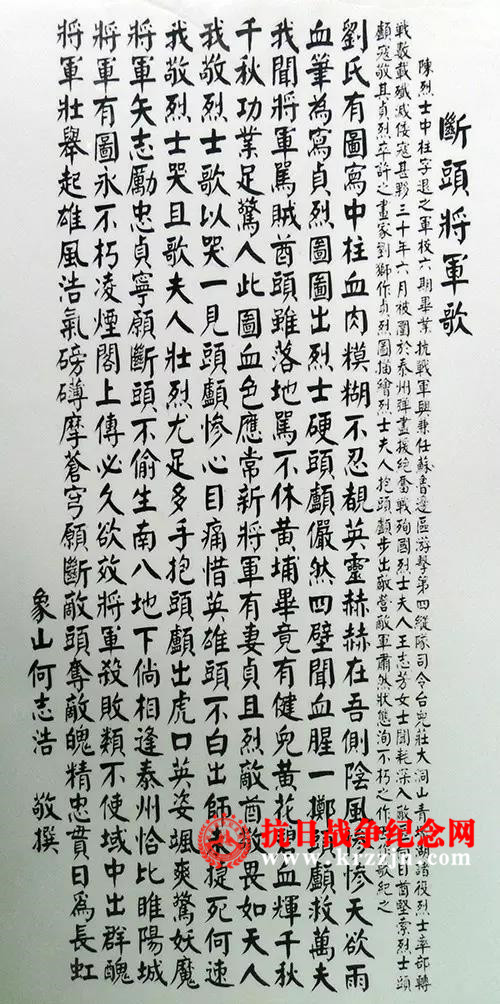
1945年抗战胜利后,她带着三个孩子回到南京娘家,因为她是家中的独生女,外祖父曾任下关区厘金局长(税务局)留下4座房产,被日本人占住,后逐步收回后,就靠房租收入维持全家人的生活,国民政府也为父亲举行了隆重的追悼会,并追授中将军衔,我们享受烈属待遇。我当时已经10岁了,记得有于右任、吴铁城、陈果夫等人参加,有画家刘狮作《贞烈图》,后又由原国民政府中将何志浩作《断头将军歌》,歌颂父母亲的忠勇贞烈。

断头将军之歌
1949年初,国民党军队节节败退,我的两位叔叔均早早举家迁往台湾,堂伯父是五省防空总司令,行前也一再劝我母亲同行,说:“这是最后几架飞机了,快带孩子们走吧!”但母亲考虑再三,她看到了国民党的无能,我们孤儿寡母远走他乡能靠谁呀?再者也不能舍下丈夫的遗骨,还是决定留在南京,靠外祖父留下的4座房产尚可维持生活及三个孩子的教育。母亲25岁守寡,坚守门庭终身未嫁,深得陈氏门中的尊重,我们姐弟三人也永远感谢母亲的深恩厚德。父亲牺牲后没有给我们留下一分钱一片瓦,记得母亲和我同去日军宪兵司令部要头时,我的一身白衣裤还是友人之女送的。母亲当时虽然痛不欲生,但想到父亲留下的骨血要她来承担抚育,她必须坚强。所以在以后的漫长岁月中,我很少见她哭过,她也绝对不会在90岁时向外人哭诉。

1949年孤儿寡母在南京
1950年抗美援朝开始,我刚读高中才15岁,一心想像父亲那样当个军人保卫祖国,母亲也很支持我参军,她说:“你要学花木兰替父报仇,”她还亲自到上海军校看我,怕我年纪小不能适应军校的训练,那时我家还享受军属待遇。
1951年全国镇反运动开始,母亲是以历史反革命被逮捕,判了5年徒刑,在南京服刑期中,一直是在一家缝纫厂做工,刑满释放后政府还安排她在鼓楼洗染店当营业员,她说:“一辈子没有工作过,人民政府改造我成为自食其力的公民,还有选举权,”所以这几十年来,她一直保存着当时的一张《公民选举证》。
1961年后因我的两个孩子相继出生,由于工作性质不能随身带孩子,只好送回南京由母亲照顾,当年政治运动频繁,她两次被街道送到燕子矶公社和泗洪县农村参加劳动,但两地的乡民,很少叫她下地,她带着一台缝纫机到乡下,无偿为乡民服务。大家都不断的给她送粮菜、送鱼虾,生活无虑。每次她回到南京,当年的乡亲们都会带一些土特产来看她。去年我的女儿女婿也驱车去泗洪看望他们,今年我自己也坐了几个小时车去泗洪看望大家。这么多年就像走亲戚一样,以报答当年乡亲们对我母亲的照顾。

三姐弟与母亲
我妹妹是1940年出生,高中毕业后在南京医学院,1961年在宁结婚,丈夫的父母在国外申请。经政府特批,1962年出国去香港、澳大利亚定居。弟弟在南京初中毕业后,1960年随我去新疆,本想继续就读工业专科学校,后他愿意参加工作,直至1983年,我妹妹帮他申请全家四口移民澳大利亚。妹妹最早在1980年申请母亲移民澳大利亚,因为我和弟弟均长期在新疆工作,母亲年迈无人照顾,由于妹妹出国十几年也十分想念母亲,申请她出国定居也是正常的,何来不敢讲出身世,远躲澳洲之说呢?但有时回忆过去的经历,在历次政治运动中担惊受怕,低头隐忍地生活,发发牢骚诉诉苦也是可以理解的。我本人是1950年参军,到1952年在上海军校毕业后,集体分配到新疆军区运输部工作,后集体转业在新疆工作直到1984年退休,为边疆建设贡献一生无怨无悔,我们全家从1974年先后去澳大利亚定居,都经两国批准至今,没什么需要隐藏的。

在文化大革命开始后,我和弟弟在新疆,母亲在南京,由于当时的政治环境和历史状况,都受到了极大的冲击,主要问题就是,我父亲是国民党军队的将军,他是在抗日战争中为祖国为民族牺牲的,受到这样的待遇我们都心有不平。记得在军校时,一位曾在苏北新四军任职的王教导员对我讲过:“你父亲陈中柱是抗日牺牲的,我们都知道。”当时我们的司令员陈实(后调任水利部副部长)告诉我:“在苏北第二次国共合作期间,李明扬部队和新四军陈毅司令员共同联防抵御日寇,”我父亲曾多次参加过国共双方在泰州的会谈。陈毅还派朱克靖和我父亲联系商谈,后来还成为很好的朋友,所以我在1955年及1959年几次利用公差去京之余,向中央有关部门反映父亲的问题,要求公正对待为国家牺牲的烈士,都未有结果。1984年退休后,我首先去找到刚成立的黄埔军校同学会,及民革中央贾亦斌主席,中央统战部、民政部详细反映情况,征集历史资料和证明,同时台湾的叔叔及堂兄们也大力协助,最让我感谢的是一位江苏的记者,在某档案馆找到两份,当时刘少奇和陈毅报告党中央的电文,真实记录了陈中柱将军在战争中英勇牺牲。我惊喜万分随即交给江苏省民政局,在第二档案馆1941年6月19日李明扬总指挥在给蒋介石、何应钦的电报稿,详细说明了战斗伤亡情况,历时三年的奔波申诉,最终在1987年2月得到中央民政部颁发的烈士证书,然后将遗骨迁葬到盐城市烈士陵园,让父亲魂归故里。办完父亲所有的手续,我1989也去了澳大利亚一家团聚。

父亲陈中柱烈士证
2005年母亲参加纪念陈中柱诞辰100周年纪念活动
母亲从1986年开始经常回国,在清明节时为父亲扫墓,寄托思念之情,并且她也去台北忠烈祠祭奠父亲,我们姐弟三人都分别去过台北忠烈祠祭拜,均受到极高的礼遇,还特别允许上香祭拜。母亲非常关心家乡的教育事业,于1999年她捐资6万澳元,在建湖县草堰口镇中学设立中柱奖学金,每年以其利息奖励10名优秀学生,今年已是第18届了,2006年她又捐资5万澳元,给以陈中柱命名的中柱中学,并亲自为“中柱中学”揭牌,当地政府又将门口大路命名为“中柱路”,后又在盐城中学设立了奖学金。2015年及2016年母亲在儿孙的陪同下两次回到南京会见亲朋好友,并共庆百岁寿辰。后又去泰州故地重访,媒体均有报道,可见母亲对祖国对家乡怀着深深的眷念之情,何来不敢回国之说。

位于建湖县草堰口的中柱中学
2015年庆贺母亲百岁寿诞
我们家人每次回国,都能得到各地政府的热情接待。2009建国60周年由江苏省全民投票选举为新中国建立有功的50名英雄人物,父亲在其中,2015年9月1日在中央民政部首批颁布的三百名英烈,也有陈中柱,我们全家对国家给予的高度评价与荣誉都心存感激。2007年凤凰卫视在《将军一去》纪念黄埔抗日殉国将领第三期的节目中,详细报导了父亲陈中柱。2009年中央七台及盐城电视台共同采访录制了名为《兄弟》的电视纪录片。2015年9月17日,中央一台在《新儿女英雄传》中也采访报导了父母亲的事迹。2005年母亲还受邀参加了纪念抗战60周年的大会,由弟弟夫妇陪同前往,在澳洲中国驻西澳总领事馆,每年的国庆和春节招待会,都邀请母亲参加,每次母亲的寿诞,历届的总领事必定亲自出席送上贺礼,在帕思市的侨界都能从报纸上的介绍认识这位受人尊敬的陈奶奶。在母亲百岁寿诞时,有英女王亲笔签名的贺卡,还有州长和总督的贺卡。台湾地区领导人马英九还亲自书写“期颐上寿”的寿联,为烈士夫人贺寿。


授予母亲的抗日战争胜利70周年的纪念章
2015年,弟弟由西澳总领馆提名,去北京参加纪念抗日战争胜利70周年“大阅兵”,我也受到中央统战部和中国驻澳洲大使馆的直接邀请,去北京参加了各项纪念活动。并带回中国政府授予母亲的抗日战争胜利70周年的纪念章,这是父亲为国捐躯应得的荣誉,我亲自带回盐城家乡,在烈士墓前、中柱中学的塑像前及纪念碑上,献上了这枚纪念章,拍照留念。随后将这枚有着重要意义的纪念章带回澳洲,并为母亲佩戴上。我母亲是位深明大义、通情达理的老人,她完全同意我的意见,把我父亲的所有遗物和珍贵的历史资料、烈士证书、纪念章等,都交给国家烈士纪念馆、博物馆保存,以缅怀先烈教育后代,热爱祖国、勿忘历史。她还拿出了2005年颁发的抗日战争胜利60周年的纪念章交给我,并深情的说:“这么多年你为父亲的事奔波,没有辜负父亲对你的疼爱,这枚章我保存了有十年,现在已经很旧了,留在身边意义不大,你也一并拿去捐给纪念馆吧!”多么可敬的老人,我想父亲泉下有知也会赞同的。

文:陈中柱烈士长女 陈璞
2016年6月21日 于南京
Copyright ©2014-2023 krzzjn.com All Rights Reserved
湘ICP备18022032号 湘公网安备43010402000821号
中央网信办违法和不良信息举报中心 长沙市互联网违法和不良信息举报中心
不良信息举报电话:0731-85531328 19198230121(微信同号)
纠错电话:18182129125 15116420702
QQ:2652168198