
图为9月l9日日军在沈阳城外攘门上向中国军队进攻。

1932年1月28日,日军发动进攻上海的“一•二八”事变,国民革命军第19路军英勇抗击。图为淞沪抗战现场。

1935年12月下旬,中共中央在陕北瓦窑堡召开政治局会议,确定了抗日名族统一战线的方针。这是会后中共中央政治局委员、书记处书记、中央革命军事委员会毛泽东在党的活动分子会议上作《论反对日本帝国主义的策略》报告。会议在毛泽东的主持下,分析了华北事变后国内阶级关系的新变化,讨论了抗日民族统一战线、国防政府和抗日联军等问题,批判了党内长期存在着的“左”倾关门主义

1937年5月,中共中央在延安召开全国代表会议,通过了《抗日民族统一战线在目前阶段的任务》,批准红军改编为国民革命军,决定苏维埃政府改为民主政府。从此,中国革命在事实上由国内革命战争转到建立抗日民族统一战线和准备对日抗战的新时期。下图为毛泽东在会上作《中国共产党在抗日时期的任务》的报告

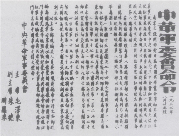
1937年8月,在中国共产党的积极推动下,国共两党就红军改编问题达成协议。图为8月25日,中央革命军事委员会发布的红军主力改编为国民革命军第八路军的命令。

1937年8月22日至25日,中共中央在陕西省洛川县冯家村召开中央政治局扩大会议(史称洛川会议),通过了《中共中央关于目前形势与党的任务的决定》和《中国共产党抗日救国十大纲领》,并组成了新的中共中央军事委员会(简称中央军委)。这是中国共产党在历史转折关头召开的一次重要会议,它制定了中国共产党的全面抗战路线,为中国共产党和全国人民指明了抗战的正确方向。图为洛川会议旧址。

1937年8月31日起,八路军各部队先后东渡黄河,沿(大)同蒲(州)铁路北上,挺进华北抗日前线。

1937年9月,三五九旅开赴华北前线对日军作战。图为部队集结时的情景。

八路军臂章

毛泽东在延安发表抗日讲话。

为进一步推动华北抗日救亡运动,1936年3月,中共中央派刘少奇到天津主持中共中央北方局工作。北方局正确贯彻执行党的全民抗战政策,大力肃清“左”倾影响,恢复和加强各级党的组织建设,促进了抗日救亡运动的蓬勃发展。左图为北方局书记刘少奇。

为抗日救国告全体同胞书

遭到国民党严重破坏而失去组织功能两年多的中共山东省委,在北方局的领导和直南特委书记黎玉的努力下,于1936年5月重建后抓紧恢复地方党组织,积极组织群众性抗日救亡运动,深入开展统一战线工作,为领导山东人民坚持敌后抗战,从政治、思想、组织等方面打下了基础。右图为山东省委书记黎玉。

中央军委召开红军改革动员大会