
《南京市临时参议会南京大屠杀案调查报告》。

《南京市临时参议会南京大屠杀案调查报告》中“敌人罪行种类统计表”

南京市档案馆藏有关南京大屠杀专案档案。

南京市档案馆藏日军对南京破坏及其暴行报告之一。

南京市档案馆藏日军对南京破坏及其暴行报告之二。

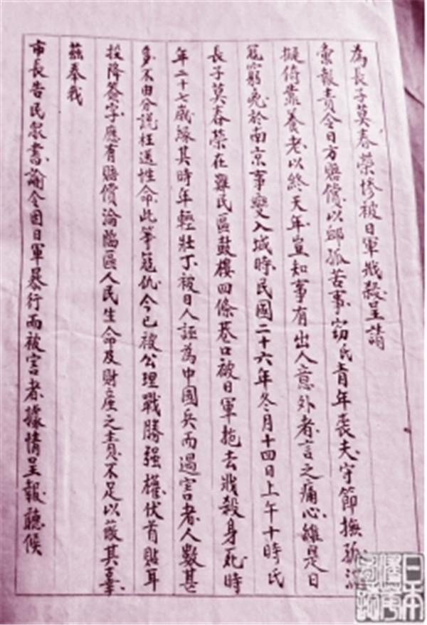
南京市民莫夏氏为长子莫春荣被日军杀害请求政府救济事致南京市政府呈之一

南京市民莫夏氏为长子莫春荣被日军杀害请求政府救济事致南京市政府呈之二

以上图文选自《日本侵华图志》第16卷《南京大屠杀》, 曹必宏编著,山东画报出版社2015年5月出版。《日本侵华图志》共二十五卷,南京大学资深荣誉教授张宪文主编。教育部人文社科重点研究基地、南京大学中华民国史研究中心、山东画报出版社有限公司合作项目,并入选“十二五”国家重点图书出版规划项目,国家新闻出版改革发展项目库 2014 年度入库项目