简体版 / 繁體版 正在载入当前时间...
首页 > 抗战研究 > 研究文献 > 内容正文

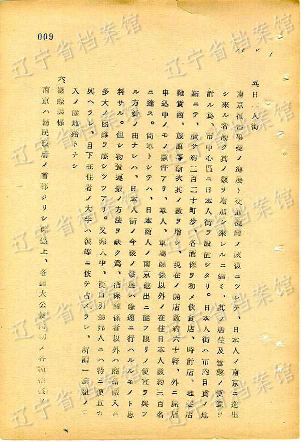
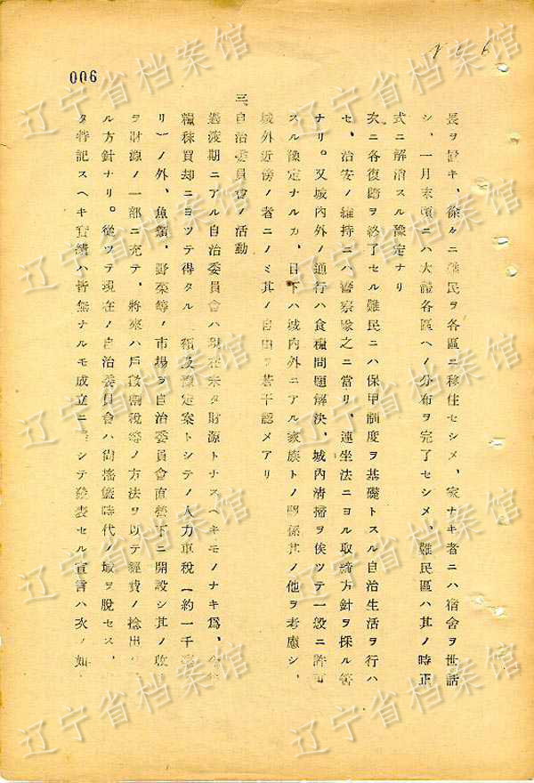
《南京大屠杀档案选萃》:《日本方面当时形成的材料》——日本满铁南京特务班的三份报告书(第1份报告书)
来源:辽宁档案馆   2015-12-17 10:09:30

















Copyright ©2014-2023 krzzjn.com All Rights Reserved

湘ICP备18022032号 湘公网安备43010402000821号

中央网信办违法和不良信息举报中心 长沙市互联网违法和不良信息举报中心

不良信息举报电话:0731-85531328 19198230121(微信同号)

纠错电话:18182129125 15116420702

QQ:2652168198