岁末之月,在抗日战争史上有着浓墨重彩的一笔。“西安事变”的关键转折、南京三十万亡灵的无尽悲怆、汪精卫卖国出逃的可耻之举、中国政府对法西斯国家正式宣战的正义呼声……寒冬之季,沸腾着四万万中华儿女的满腔热血。笔者将以“抗日战争与近代中日关系文献数据平台”所收录史料为基础,与读者共同回忆岁末寒冬,抗日战争史上的十二月。
12月1日

1932年12月1日,国民党政府由洛阳迁回南京。上图为翌日《中央日报》报道。

1937年12月1日,日军大本营下达进攻南京的命令。上图为1946年国民政府军委会军令部核准刊行的《南京卫戍战史话》。

1939年12月1日,中共中央发出《关于组织进步力量争取时局好转的指示》。上图出自平台《中共党史教学参考资料》。

1943年12月1日,中、美、英《开罗宣言》发表。上图为《中美英三国领袖开罗宣言》,出自平台《武汉日报年鉴》。
12月2日

1943年12月2日,广东人民抗日游击总队,改编为广东人民抗日游击队东江纵队(简称东江纵队)。上图简要介绍广东东江(纵队)的游击战,出自平台《抗战八年来的八路军与新四军》。
12月4日

1936年12月4日,蒋介石赴西安,胁迫张学良、杨虎城“剿共”。上图文末记录蒋介石于该日飞抵西安,出自平台《中国抗战史讲话》。
12月5日

1938年12月5日,琼崖红军游击队改编,开展海南岛敌后抗日游击战争。上图介绍了琼崖游击队坚持孤岛抗战第六年的状况,出自平台《敌后抗日根据地介绍》。
12月6日

1935年12月6日,美国国务卿赫尔发表文告,表明“美国对于华北自治运动不能熟视无睹”。上图为26岁的赫尔,出自平台《赫尔回忆录》。
12月8日

1941年12月8日,日军袭击珍珠港,发动太平洋战争。上图为《战幕在珍珠港揭开》一文部分内容,出自平台《太平洋岛屿志要》。
12月9日

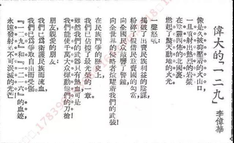
1935年12月9日,北平爆发“一·二九”抗日爱国运动。上图为李伟华短诗《伟大的“一二九”》。出自平台《大众生活》。

1941年12月9日,中国国民政府发表对日、德、意正式宣战的文告。上图为翌日《中央日报》报道。
12月10日

1931年12月10日,国联理事会决定派遣以李顿为首的代表团调查中国东北事件。上图为《论李顿调查团报告书》部分内容,出自平台《红旗周报》。
12月12日

1932年12月12日,中苏两国恢复外交关系。上图为翌日《申报》报道。



1936年12月12日,张学良、杨虎城发动“西安事变”。上图依次为《中央日报》、《大公报》、《申报》的报道。

1942年12月12日,《解放日报》发表社论《积极推行“南泥湾政策”》。
12月13日


1937年12月13日,日军占领南京并进行大屠杀。上图依次为《申报》对南京保卫战状况的报道;平台《日军暴行备忘录》对日军发动“南京大屠杀”的相关记载。
12月14日

1937年12月14日,日本指使汉奸王克敏等,在北平成立伪中华民国临时政府。上图部分介绍其组织经过,出自平台《调查专报》。

1940年12月14日,日军调集重兵对晋西北地区进行冬季全面“扫荡”,实行“三光”政策。上图为《晋察冀边区冬季反“扫荡”的胜利》一文部分内容,出自平台《八路军军政杂志》。
12月16日

1935年12月16日,北平各大中学校及全国各地学生举行示威游行,反对冀东伪政权。上图为翌日《大公报》报道。

1936年12月16日,国民党中央委任何应钦为“讨逆军”总司令,调集20个师的兵力进逼西安。上图为翌日《中央日报》报道。
12月18日

1935年12月18日,冀察政务委员会成立。上图为1936年1月,国民政府公布《冀察政务委员会暂行组织大纲》,出自平台《国民政府法规汇编(第八编)》。

1938年12月18日,汪精卫自重庆叛逃河内。1939年1月1日,国民党中常会对其做出开除党籍、撤职等处分,上图为《中央日报》报道。
12月19日

1936年12月19日,中共中央发表《中国共产党对西安事变通电》。出自平台《国共合作抗日文献》。
12月23日

1939年12月23日,在华日人反战同盟西南支部在桂林成立,日本作家鹿地亘任主席。上图为黄源文章《欢迎“中国的友人”—鹿地亘》,出自平台《群众》。

1941年12月23日,中英签订《中英共同防御滇缅路协定》,成立中英军事同盟,筹建中国远征军,准备入缅作战。上图为滇缅交界地区交通图,出自平台《我们的远征军》。
12月24日

1936年12月24日,张学良、杨虎城、周恩来与宋子文、宋美龄举行会谈,会谈达成六项协议,西安事变和平解决,“奠定了抗日战争的基础”。上图出自平台《中国近代政治简史》。

1941年12月24日,第三次长沙会战开始。上图为平台收录《第三次长沙会战纪实》一书。
12月25日

1935年12月25日,中共中央政治局瓦窑堡会议通过《关于目前政治形势与党的任务决议》,确定了抗日民族统一战线的策略方针。上图为会议决议部分内容,出自平台《中共党史教学参考资料》。

1941年12月25日,日军占领香港。上图为翌日《申报》报道。
12月26日

1936年12月26日,“西安事变”后,蒋介石返抵南京。上图为翌日《中央日报》大篇幅报道。
12月27日

1937年12月27日,日军占领济南。上图为翌日《新闻报》报道。

1944年12月27日,粟裕率新四军第1师渡江南下,开辟苏浙皖边抗日根据地。上图为对粟裕指挥才能的简要介绍,出自平台《人民将领群像》。
12月31日

1936年12月31日,国民政府军事委员会组织高等军法会审,判处张学良徒刑十年,剥夺公权五年。上图为翌日《中央日报》报道。

1938年12月31日,美国照会日本重申不承认所谓“东亚新秩序”。上图为《什么是所谓东亚新秩序》一文部分内容,出自平台《上海周报》。

1944年12月31日,《解放日报》发表长篇专论,《敌后战场伟大胜利的一年》。
往期回顾:缅怀——抗日战争史上的十一月
抗战史上的十月
抗战史上的九月
抗战史上的八月
【抗战文献数据平台】
ID:modern_history


▲长按二维码关注我们的公众号与微博
Copyright ©2014-2023 krzzjn.com All Rights Reserved
湘ICP备18022032号 湘公网安备43010402000821号
中央网信办违法和不良信息举报中心 长沙市互联网违法和不良信息举报中心
不良信息举报电话:0731-85531328 19198230121(微信同号)
纠错电话:18182129125 15116420702
QQ:2652168198