侵华日军细菌战揭秘
【简介:】二十世纪二十年代末,日本陷入空前的经济危机。为转移国内矛盾,日本实行对外侵略国策。鉴于日本资源缺乏的状况,日本将节省资源和能源的细菌战作为国家军事战略,研制细菌武器。1932年,日本在陆军军医学校创立了“细菌研究室”,开始进行细菌研究。1933年将细菌研究活动从日本国内转移到中国东北的哈尔滨,先后在背荫河和平房建立研究基地。从1936年起,开始在中国东北、华北、华中、华南等地陆续组建了细菌部队,形成了遍布中国各地和东南亚地区的细菌战网络体系。这种由日本自上而下、有组织的反人类、违背国际法的国家罪行,始终贯穿在日本长达14年的侵华过程之中。
【二】日本细菌战的大本营七三一部队
七三一部队支部

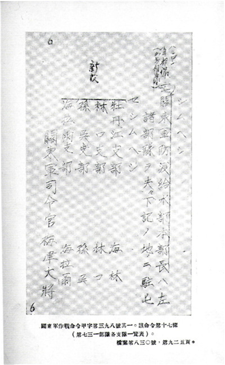
1940年12月,为了适应对苏作战的需要,根据日本天皇敕令、关东军司令官梅津美治郎下达398号命令,(手指文件)这就是当时的命令文件。在中苏边境地区建立牡丹江、林口、孙吴和海拉尔支队,加上1938年接管的大连卫生研究所,七三一部队共有5个分支机构。在图上,我们可以看一下这几个支队的位置。
这四个支队的主要任务:一是进行细菌研究和人体实验,二是生产细菌武器战剂,三是为七三一部队提供老鼠和染菌跳蚤。孙吴支队还是七三一部队的培训教育基地。在这里由七三一部队主办了多次部队本部、各支队、各师团防疫给水部人员参加的细菌战培训。
除了这四个支队外,还有一个大连卫生研究所,原名称为“满铁卫生研究所”,隶属于满铁,建于1925年8月。是进行细菌和病理研究的单位。1938年隶属于七三一部队,改称“大连卫生研究所”,1941年8月改称“满洲第三一九部队”,人员250人。大连卫生研究所主要进行细菌研究和生产,同时也进行活体实验。

关东军关于成立七三一部队支队的398号命令

七三一部队各支队编制表

1943年12月,七三一部队各部长、各支队长和大连卫生研究所所长合影

大礼堂前合影

七三一部队各支队分布示意图
第一组 孙吴六七三支队
1940年12月,日本关东军组建孙吴支部,1941年8月改称“满洲第六七三部队”,人员136人。位于黑龙江省孙吴镇西南1.5公里的小山上,日军称之为“铃兰台”,因山岗上长满了铃兰花而得名。房舍约300余间。孙吴六七三支队不仅是细菌试验与生产基地,也是七三一部队细菌战人员培训中心。

孙吴六七三支队平面图

孙吴六七三支队遗址

孙吴六七三支队人体解剖池

孙吴六七三支队细菌地下贮藏库遗址
孙吴支队长西俊英关于该支队进行鼠类征集和培养跳蚤工作的供词
孙吴支队长西俊英供认:“养育鼠类、搜捕鼠类和培养跳蚤以便送往第731部队去的工作,也加强起来,因为用染有鼠疫的跳蚤来撒播鼠疫细菌,已经认为是进行细菌战的最有效手段。”
《前日本陆军军人因准备和使用细菌武器被控案审判材料》,第64页,外国文书籍出版局,1950年。
西俊英关于孙吴支队对十名中国战俘进行传染坏疽病实验的供词
这次实验的手续如下:把十个中国战俘绑在柱子上,距装有坏疽菌的开花炸弹达十至二十公尺远。
为了不让这些人立刻被炸弹炸死,就把他们的头部和背部都用特种金属板和厚棉被掩盖着,双脚和臀部则露在外面。电门一开,炸弹爆炸了,带有坏疽菌的霰片落到受实验者所在的小坪上。结果全体受实验者的脚上或臀部都受了伤,他们经过七天惨痛之后都死去了。
《前日本陆军军人因准备和使用细菌武器被控案审判材料》,外国文书籍出版局,1950年
第二组 牡丹江支队
1940年12月, 日本关东军组建牡丹江支部,也称海林支部。1941年8月改称为“满洲第六四三部队”,人员200人。支队营区位于海林县东北2公里处的腰屯,占地面积约28万平方米。营区呈长方形,四周设有铁刺线。

牡丹江六四三支队建筑设施分布图

牡丹江六四三支队营房大门地基

牡丹江六四三支队营房大门地基
六四三支队队员菊地则光关于该支队研究各类细菌效能的供词
菊地则光在643支队担任实验员,他供认:“我从1943年4月到被俘虏为止,在第731部队第643支队供职期间,曾从事于培养伤寒、副伤寒、赤痢及结核等细菌,以便研究这些细菌的属性及其引起疫症的效能。我在培养细菌时研究过细菌所赖以繁殖的营养液,目的是要制造出一种使细菌能迅速繁殖起来并能更长保存其生活力的营养液。”
《前日本陆军军人因准备和使用细菌武器被控案审判材料》,第85页,外国文书籍出版局,1950年。
尾上正男关于牡丹江支队大量繁殖跳蚤的供词
后来,为执行我们所奉到的命令起见,我们从牡丹江城的仓库内领到了大约二百个从前装汽油的空桶来繁殖跳蚤。至于这批汽油桶是否全数被实际用去大批繁殖过跳蚤,我已记不清楚了,因此现时我不能说明这点。
接着就开始了对苏联的战争,我从我那些属员报告中知道,一九四五年八月九日送了大约二十至二十五公分跳蚤到第七三一部队司令部去,而所有其余的跳蚤,则在该部队于八月十三日出发到爱河站前线阵地去的时候由我们消灭了。
《前日本陆军军人因准备和使用细菌武器被控案审判材料》,外国文书籍出版局,1950年
尾上正男关于牡丹江支队繁殖跳蚤情况的供词
在我所领导的第643支队中,曾从事培养鼠类和传染鼠疫的跳蚤,并将这些跳蚤送往第731部队中去,用以制造细菌武器。
本支队内也曾繁殖和搜捕过鼠类(豚鼠、白老鼠)和家兔,这些动物都被送到了第731部队司令部去,用以生产细菌武器和进行研究“孙吴”疟疾的实验。此外,第643支队内还繁殖过跳蚤,这种跳蚤也被送到了第731部队中去染上鼠疫菌,使其成为一种细菌武器。本支队第1部内曾用灰老鼠进行过研究工作,目的是要找到繁殖鼠疫跳蚤的最有效办法,但这一工作没有什么成就,所以后来只是在白老鼠身上来繁殖跳蚤。
《前日本陆军军人因准备和使用细菌武器被控案审判材料》,外国文书籍出版局,1950年
第三组 林口支队
1940年12月,日本关东军组建林口支部。1941年8月改称为“满洲第一六二部队”,人员226人。支队营区位于黑龙江省林口镇与古城镇之间的东岗梁上(现称新城),占地面积约1平方公里。

林口一六二支队平面图

林口一六二支队队长榊原秀夫

1945年4月1日,林口一六二支部合影

林口一六二支队队员合影

林口一六二支队营房遗址

林口一六二支队遗址

林口一六二支部生产细菌材料一览表

林口一六二支部细菌生产器具一览表

榊原秀夫供述关于林口一六二支队的机构设置、人员编制和生产细菌的器材及设备等情况


榊原秀夫供述关于林口一六二支队的细菌生产设备情况


榊原秀夫供述关于一六二支队生产的细菌种类和细菌月生产量等相关情况
第四组 海拉尔支队
1940年12月,日本关东军组建海拉尔支部,对外称“防疫给水班”。 1941年8月改称为“满洲第五四三部队”。位于呼伦贝尔市海拉尔区河西仁德礼街,海拉尔支部房舍300余间,人员165人。除进行细菌研究生产外,其还为七三一本部繁殖致命细菌的传染媒介物—跳蚤及饲养各类动物。

海拉尔五四三支队位置示意图

海拉尔五四三支队营房平面图

海拉尔五四三支队营房
和野武男关于海拉尔支队潜入蒙古人部落撒菌的证言
我在石井部队平房本部仅工作了几个月,便调到了海拉尔支部。一年前,号称关东军防疫给水部的 731部队,出于战略的需要,分别在东满和北满边境地带密设了4个支部,不久日本陆军大本营发动了太平洋战争。而今由于战势紧张,731部队的细菌试验活动也更加频繁了。我刚一到海拉尔支部就奉命参加了细菌实战的演习。他们的“阴谋破坏班”多次秘密地潜入蒙古人部落,在居民毫无察觉的情况下,将霍乱菌、伤寒菌投入水井等饮用水源地。在事先和事后,我要两次去水源地取回水样,进行水质检查。这种事我干了好多次,实质就是检验细菌野外试验的效果。
韩晓、金成民:《日军七三一部队罪行见证》(第二部),黑龙江人民出版社,1995年
第五组 大连卫生研究所
大连卫生研究所原名称为“满铁卫生研究所”,建于1925年8月,是进行细菌和病理研究的单位,隶属于满铁。1938年改称“大连卫生研究所”,1941年8月改称“满洲第三一九部队”,人员250人。位于大连市下葭街20号,占地面积11.47万平方米。

大连卫生研究所旧址

大连卫生研究所旧址内部
山内丰纪关于大连卫生研究所进行细菌实验的供词
据山内丰纪供认:“我向当时的班长中黑少佐提出要到大连,同时听说菌苗班全员最近要移到大连,我和石井雇员2人,在10月先出发,带4台超音波来到大连。”他还说:“关于我到大连以来(1940年以来),731部队这方面(指大连卫生研究所)的动态,在所谓大东亚战争开始的马来西亚作战的前夜,即关东军特别演习的前后,霍乱专家凑技师(凑是平房制造霍乱细菌的技师),来做霍乱菌的冷冻实验,利用大连研究所的强冷冻器做实验,由山口中佐率领植物班亦前来实验。”“这时731部队的昆虫班队大举的来到大连,大量的搜集市内的老鼠,做跳蚤、做鼠疫感染实验,放到前线去。”山内又称:“在该卫研所具有五六百个石井式细菌培养罐,在细菌室用于大量生产,日军投降时全部扔在大连港外海里。”
中央档案馆等:《细菌战与毒气战》,中华书局,1989年

田村良雄关于七三一部队向大连卫生研究所运送鼠疫菌的供词
1941年10月上旬,柄泽十三夫命令我和另一名雇员将装有鼠疫菌的实验瓶两瓶约10公斤,运到大连市下葭町大连卫生研究所,交给了该所的仓内技师。
Copyright ©2014-2023 krzzjn.com All Rights Reserved
湘ICP备18022032号 湘公网安备43010402000821号
中央网信办违法和不良信息举报中心 长沙市互联网违法和不良信息举报中心
不良信息举报电话:0731-85531328 19198230121(微信同号)
纠错电话:18182129125 15116420702
QQ:2652168198