朕深监于世界之大势与帝国之现状,欲以非常之措置,收拾时局,兹告尔忠良之臣民。朕已命帝国政府通告美,英,中,苏四国,接受其联合公告,盖图谋帝国臣民之康宁,同享万邦共荣之乐,乃皇祖皇宗之遗范,亦为朕所眷眷不忘者。曩者所以对美、英二国宣战,实亦出於庶几帝国之自存与东亚之安定。至若排斥他国之主权,侵犯领土,固非朕之本志。然交战已阅四载,纵有朕陆、海将兵之勇战,朕百官有司之奋勉,及朕一亿众?庶之奉公,各自克尽最大努力,战局并未好转,世界大势亦不利於我。加之,敌新使用残虐炸弹,频杀无辜,惨害所及,实难逆料。若仍继续交战,不仅导致我民族之灭亡,亦将破坏人类之文明。此朕之所以卒至饬帝国政府接受联合公告也,朕对於始终与帝国协力共图东亚解放之各盟邦,不得不表遗憾之意,念及帝国臣民死於战阵,殉於职守,毙於非命者及其遗族,五内为裂,而负战伤、蒙灾祸、失家业者之生计,亦朕所深为轸念者也。惟今后帝国将受之苦难,固非寻常,朕亦深知尔等臣民之衷情。然时运之所趋,朕欲耐其难耐,忍其难忍,以为万世开太平之基,朕於兹得以护持国体,信倚尔等忠良臣民之赤诚,常与尔等臣民共在。若夫为感情所激,妄滋事端,或同胞互相排挤,扰乱时局,因而迷误大道,失信於世界,朕最戒之,宜念举国一家,子孙相传,确信神州之不灭,任重而道远,倾全力于将来之建设,誓期发扬国体之精华,勿后於世界之潮流,望尔等臣民善体朕意之。
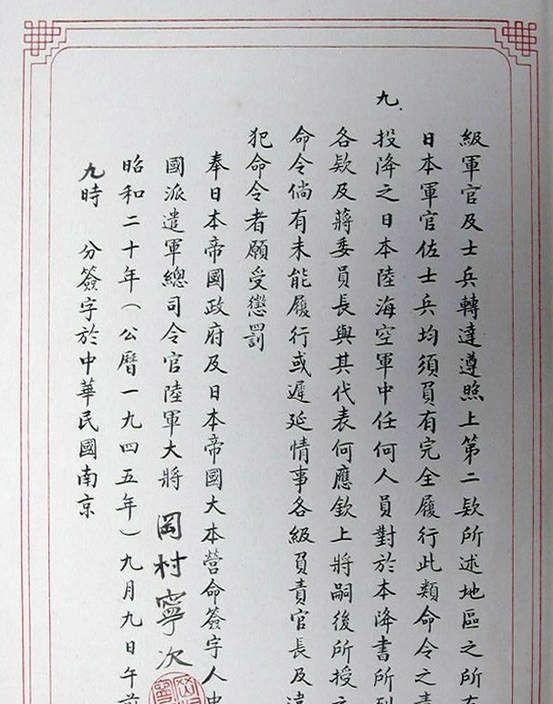
中文名:日本投降书
发布投降时间:1945年8月15日
发布者:日本裕仁天皇
意义:标志日本无条件投降







Copyright ©2014-2023 krzzjn.com All Rights Reserved
湘ICP备18022032号 湘公网安备43010402000821号
中央网信办违法和不良信息举报中心 长沙市互联网违法和不良信息举报中心
不良信息举报电话:0731-85531328 19198230121(微信同号)
纠错电话:18182129125 15116420702
QQ:2652168198