简体版 / 繁體版 正在载入当前时间...
首页 > 英雄名录 > 抗战老兵名录 > 综合资料 > 在湘老兵 > 内容正文

枪是士兵的生命——抗战老兵姜立诚与益阳武警战士心连心活动纪实
来源:益阳老兵之家 廖建勇   2014-12-08 11:06:27

  2014年12月6日,武警益阳支队、益阳老兵之家志愿者团队邀请抗战老兵姜立诚爷爷到武警益阳支队展开了一次抗战老兵与武警战士心连心活动,姜爷爷做了“我眼中的抗日战争”主题报告。

  姜立诚爷爷生于1923年5月,湖南宁乡人,1938年,15岁的姜爷爷响应国家号召,毅然离开家乡,投身军营,加入宁乡陆军志愿兵第一团,从此开始了长达7年打击日本侵略者的战斗。姜爷爷一直在国民革命军第九战区长官司令部任作战参谋,在抗日名将薛岳将军带领下,亲历三次长沙会战,常德会战,衡阳保卫战等著名战役,给日军以沉重打击。后调益阳五区抗日自卫司令部,任宁湘自卫区司令部参谋处上尉参谋,在益阳继续打击日本鬼子,直至抗日战争的最后胜利。日本投降后,在宁乡参与日军受降。

  在历时半个多小时的报告中,姜爷爷历数日本侵略者在中国犯下的滔天罪行,“日本侵略者屠杀我无辜百姓,奸淫掳掠,放火施毒,惨绝人寰”。常德战败后,日军撤退至益阳南县厂窖镇时,居然对我平民百姓大开杀戒,在短短3天时间内杀害无辜百姓3万余人,作为厂窖惨案的见证人,姜爷爷对日军的暴行表现出极大的愤慨!他说:“每个中国人看到这场悲惨情景,无不痛绝肺腑”!姜爷爷对三次长沙会战记忆犹新,他说,“1939年第一次长沙会战,我军共歼灭日军3万余人。1941年第二次长沙会战,在岳阳到长沙北郊战线上,英勇的中国军民前赴后继,英勇杀敌,歼灭日军近4万人,我军损失也十分巨大,第74军的伤亡达到50%以上。1942年第三次长沙会战,更是采取以退为进的战略,诱敌深入,然后将日军包围在长沙北郊,取得了歼灭日军5万余人的大捷,打得阿南惟几找不到北”。讲到这里,那种痛击日军、取得胜利后兴奋感、满足感溢于言表,老人似乎又回到了当年的杀敌战场上!

  报告会后,在武警益阳支队有关领导陪同下,姜爷爷参观了武警战士的训练,对战士们威武、雄壮的气势大加赞赏,他说:“战士们很威武,体现了爱国主义精神,我对你们很满意!” 当看到战士打靶时,老人激动不已,跳跃欲试,要求进行实弹射击,他说:“60多年,我没摸过枪了,枪可是我们战士的生命啊!现在的枪,与当年我们打鬼子时使用的枪已有很大的区别了,看到枪,我心里就发痒啊!所以请允许我试试,哪怕就打一发子弹!”经大家反复考虑,从老人的安全出发,我们没有同意老人的这一要求,只让爷爷持枪试了试,爷爷持枪的姿势还真是雄风不减当年呢!爷爷对我们不让他实弹射击很不满意,他说:“我还没老到端不动枪的地步呢!”表现出一位老战士对武器的无限眷念与爱戴!

  随后,姜爷爷与战士们进行了面对面的交流,他语重心长地对战士们说:“当兵,就要有忘我精神,以国家利益为重,要为国家,为人民贡献自己的力量!要吃得苦,耐得劳,一心一意为人民做事。当年打击日本鬼子时,我在长沙作战7年,虽然离家只有100多里地,但7年里我只回了2次家,我的全部精力就是打鬼子!回到家,妈妈也是鼓励我奋勇杀敌”。

  姜爷爷对这次报告会活动十分满意,觉得自己为社会做了贡献,非常满足。

  

抗战老兵姜立诚爷爷“我眼中的抗日战争“主题报告会

  

报告中的姜立诚爷爷

  

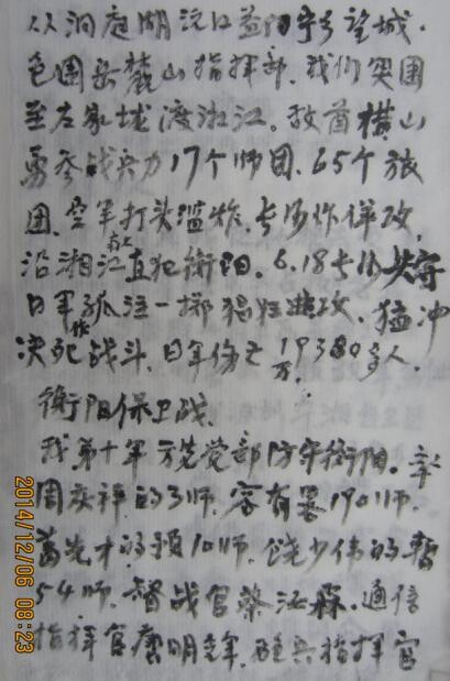
姜立诚爷爷报告讲稿

  

观看武警战士训练

  

准备射击

  

雄风不减当年

  

促膝谈心

Copyright ©2014-2023 krzzjn.com All Rights Reserved

湘ICP备18022032号 湘公网安备43010402000821号

中央网信办违法和不良信息举报中心 长沙市互联网违法和不良信息举报中心

不良信息举报电话:0731-85531328 19198230121(微信同号)

纠错电话:18182129125 15116420702

QQ:2652168198