抗日战争纪念网电话:0731-85531328; QQ:2652168198;微信号:kzjnw0903;
电子邮箱:tougao@krzzjn.com;
地址:湖南省长沙市岳麓区英才园1片17栋)
已知线索:唐棣,湖南宝庆人,1900年出,年少经历及何时从军待考,1930年7月毕业于中央陆军军官学校(武汉分校)第七期,先后在湖北保安五团通城保安大队一中队任小队长、中队长等职,1937年9月为抵抗日军侵略驰援上海,改编入原国民革命军88师524团1营1连并任连长,四行仓库保卫战中因原3连连长石美豪负伤退出火线而接任3连连长之职,全营官兵在副团长谢晋元的带领下死守上海最后一块阵地四昼夜,史称四行仓库“八百壮士”。部队接令撤退后被英方羁留孤军营,后被日军押往巴布亚新几内亚日军机场当劳工至1946年底,唐棣回上海为团长谢晋元守墓期间结识安徽逃难女子黄素如并结婚生子唐仙多及女儿唐仙珍,1960年病死于大西北某劳改农场。
唐棣子女为缅怀英雄父亲,多年奔波为父亲恢复名誉并希望寻找到祖籍及家乡亲人。现已考证的唐棣生平,仅知其祖籍为宝庆南乡唐氏宗祠,曾有通信地址:宝庆东门下墙唐发来旅馆转。据此推断,唐棣家乡可能在现邵阳市南边方向,即现唐四、谷州、下花桥、郦家坪一带,据通信地址推断,东门下墙即现邵水西路、邵府街一带,可能有亲友名字叫唐发来。
委托人:唐仙多

唐棣军校毕业档案照片

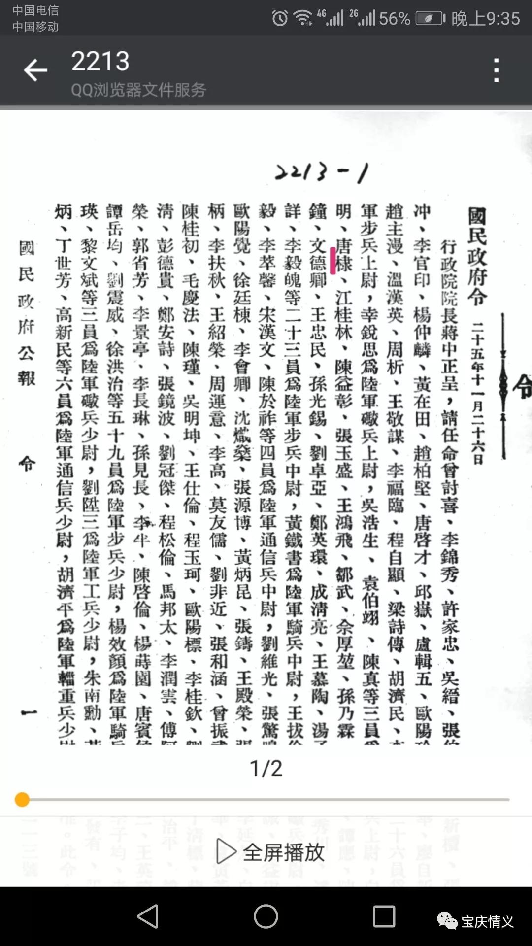
唐棣任职文件档案资料




四行仓库保卫战简介

国家主席、中央军委主席习近平多次重要讲话中提到“八百壮士”



四行仓库保卫战战时电文档案资料
Copyright ©2014-2023 krzzjn.com All Rights Reserved
湘ICP备18022032号 湘公网安备43010402000821号
中央网信办违法和不良信息举报中心 长沙市互联网违法和不良信息举报中心
不良信息举报电话:0731-85531328 19198230121(微信同号)
纠错电话:18182129125 15116420702
QQ:2652168198